Scalable cell motility

for the CPM featuring persistence and taxis

Motivation

Continuous surface mechanics

Magno et al., 2015] introduced a scaling of CPM parameters for the different node sizes.

Morpheus 3.0

  • Continuous space parametrization of CPM
  • Node length $\eta$ and mcs duration $\tau$ define discretization
  • Units

Naïve modelling assumptions

  • Composable taxis and persistence
  • Limit motility energy of a cell
  • Temperature T should become a technical parameter

Performance considerations

Parameter optimization and model inference are computationally very demanding

Motility System

CPM Hamiltonian

$$H = \sum_{\substack{\langle i,j \rangle \text{ neighbours} ,\\ \sigma(i) != \sigma(j) }} J_{\sigma(i),\sigma(j)} \\ + \sum_{\sigma \text{ cells} } \lambda_A(a_\sigma-A)^{2} \\ + \sum_{\sigma \text{ cells} } \lambda_P(p_\sigma-P)^{2} $$

Motility System State

Cell specific polarisation vector $\vec{p}$, with $\theta(\vec{p})$ the orientation of this vector

Motility System Dynamics

Motility strength $\mu$ defines energy gradient for a displacement $\Delta C$: $$ \Delta H = - \mu(a*\delta C \cdot \vec{p})$$ Every Monte Carlo step (MCS), angular noise $\xi$ is applied: $$ \tfrac{\Delta \theta}{\text{\small MCS}} = \xi $$

Motility System Dynamics

Taxis is integrated into $\vec{p}$ by adaptation dynamics Contact inhibition of locomotion Event based reorientation for 'run and tumble' and frustration reorientation

time scaling $j$

$$ \tau' = j \tau $$

time scaling $j$

$\mu'=j\mu, \,\, \xi'=\sqrt{j} \xi$ $$ \Delta H = - \mu(\delta C \cdot \vec{p}), \,\, \tfrac{\Delta \theta}{\text{mcs}} = \xi $$

spatial scaling $k$

$$ \eta' = k \eta $$

Scaling by Magno et al.

  • $J'=J/k, \,\, T'=T/k, \,\, \tau'=\tau*k^2,$
  • $A'=k^2 A, \,\, \lambda'_a=\lambda_a/k^4,$
  • $P'=k P, \,\,\ \lambda'_p=\lambda_p/k^2$

Cell motility scaling

$$ \Delta H = - \mu(\delta C \cdot \vec{p}), \,\, \tfrac{\Delta \theta}{\text{mcs}} = \xi $$ $$ \mu'=\mu/k^2, \,\, \xi'=\xi/\sqrt{k}, \,\, \tau'= k \tau $$

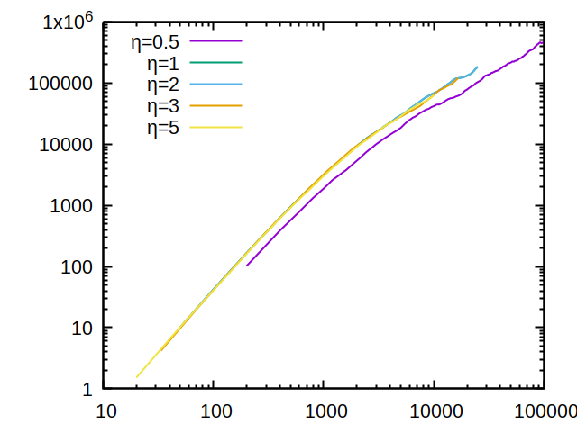
Spatial scaling MSD

runtime considerations

discussion

  • Motility Sysytem works on the cell level
  • Motility Sysytem is scalable in time and space
  • CPM 'Temperature' demoted to techical parameter
  • Runtime scaling improved by an order
  • Taxis
  • Local $\vec{p}$
  • Isotropy of motion
  • Angular noise computation in 3d